Determinantes de orden 3
Definición del determinante de orden 3
Orientación en IR3
Una base (u, v, w) de R3 (tres vectores que determinan un paralelepípedo) tiene una
orientación positiva o negativa, buena o mala orientación se suele decir también.
Al estar en dimensión 3, podemos ver la base (u, v) del plano <u, v> con
orientación positiva, (ahora se puede ver la otra cara del plano), pues bien, si viendo el plano <u,
v> con esta orientación resulta que w indica altura, diremos que la base (u, v, w)
está bien orientada; si por el contrario w indica bajura, diremos que dicha base
está mal orientada.
Ejemplos:

Así pues una base bien orientada se puede ver como (Este, Norte o NE o NO, Altura).
Al igual que en dimensión 2, el concepto de orientación también se puede definir con
el sentido del ángulo entre vectores:
Se dice que una base (u, v, w) tiene orientación positiva si al girar un tornillo,
con la dirección de w, en el sentido rotatorio de u a v, este avanza en el sentido de
w; cuando el tornillo avance en sentido contrario a w, se dirá que la orientación de la
base es negativa.
Ejemplos:

Obsérvese que al trasponer dos vectores de una base, la orientación cambia de
signo:

Determinante de orden 3 = Volumen orientado
Diremos que el volumen del paralelepípedo determinado por 3 vectores (u, v, w) es positivo o negativo según sea la orientación de la base (u, v, w):

Este concepto coincide con la definición de volumen = área de la base · altura,
cuando estas se toman orientadas.
Definición:
El determinante de tres vectores en
IR3 (u, v, w) es el volumen orientado del paralelepípedo que determinan, designaremos este volumen por det(u, v, w).
Si uno de los vectores u, v, w, es combinación lineal de los otros, es decir, si
los tres vectores están en el mismo plano, det(u, v, w) = 0, pues la altura de este
paralelepípedo es 0.
Propiedades de los determinantes
1 Si a una fila se le suma una combinación lineal de las otras, el determinante no
varía
En la figura vemos que al sumarle al 3º vector-fila una combinación lineal del
1º y del 2º, se obtiene otro paralelepípedo con la misma base y la misma altura, luego el
determinante no varía.

2 El determinante es una forma hemisimétrica
Al permutar dos vectores-fila de una matriz su determinante cambia de signo pero
no de valor absoluto. Esta propiedad ya se ha visto al estudiar la orientación en este
capítulo:
det(u, v, w)= -det(v, u, w)
3 El determinante es una forma multilineal
3.a) det(u, v, w)=·det(u, v, w) para cualquier número real
3.b) det(u, v, w1 + w2)=det(u, v, w1)+det(u, v, w2)
4 El determinante de la matriz identidad es 1
Pues el volumen que determina dicha matriz es el de un cubo de lado unidad
Cálculo del determinante de una matriz de orden 3
Sean i=(1, 0, 0), j=(0, 1, 0) y k=(0, 0, 1)

Eliminamos los determinantes que no definen volumen por ser de vectores coplanarios y aplicando ahora las propiedades 2 y 4 obtenemos que:

Geométricamente el paralelepípedo que determinan los vectores fila se ha descompuesto en seis paralelepípedos paralelos a los ejes de coordenadas
Determinante del producto
y sus filas son las de A al tomar como base los vectores fila de B. Así pues, el
detA·B es el de A multiplicado por el volumen del paralelepípedo que determinan
(uB, vB, wB) con lo que se concluye que el determinante del producto es el producto de los determinantes.
El determinante de una matriz es igual al de su traspuesta
Esta propiedad admite en este orden la misma demostraciónn aritmética que se describió para los determinantes de orden 2. Por tanto, las propiedades descritas para las filas de un determinante son tambi´en ciertas para las columnas.
Desarrollo de un determinante por los elementos de una fila
Llamaremos menor de fila i y columna j, mij, al determinante que resulta al eliminar
en la matriz A la fila i y la columna j. El adjunto Aij es igual a (-1)i+j·mij
Observación
Pues volumen=área·altura y en este caso el primer vector fila (altura) es perpendicular a los otros 2 (base)
Desarrollo del detA por los elementos de la primera fila
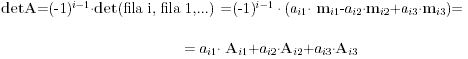
Desarrollo del detA por los elementos de la fila i
Basta aplicar (i-1) trasposiciones a las filas de A para tener:
Definición de determinante de orden n
Ampliamos ahora el determinante a matrices de orden n generalizando la fórmula obtenida para n igual a 2 y a 3:
Sea A = (aij) una matriz cuadrada de orden n, se define el determinante de A como:
Esta fórmula extiende a orden n el concepto de longitudes, áreas y volúmenes
orientados y verifica las propiedades que se vieron para el orden 2 y 3.
Consolación Ruiz Gil