MEDIA Y DESVIACIÓN TÍPICA

Un triángulo rectángulo:

 

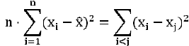
Si P es el punto (x1, x2, ..., xn), su módulo es la raíz de la media de los cuadrados de los xi por la raíz de n  (segmento verde por raíz de n en la figura anterior).

El módulo del vector que tiene todas sus coordenadas iguales a la media de las coordenadas de P es "media por la raíz de n".

Por tanto , por el reciproco del teorema de Pitágoras al tener en cuenta el triángulo anterior, se concluye que la distancia de P a la recta <(1, 1, ... , 1)> es sigma por raíz de n.

Y al calcular la distancia de P a la recta <(1 , 1 , ... , 1)> e igualarla a sigma por raíz de n resulta la siguiente igualdad:

Por ejemplo si P = (1, 2, 3, 6), la media es 3 y el primer miembro de la igualdad anterior es:

4·((1-3)2+(2-3)2+(3-3)2+(6-3)2) = 4·(4 + 1 + 0 + 9) = 56

El segundo miembro es

(1-2)2+(1-3)2+(1-6)2+(2-3)2+(2-6)2+(3-6)2= 1 + 4 + 25 + 1 + 16 + 9 = 56

Obsérvese que el segundo miembro tiene n·(n-1)/2 sumandos.

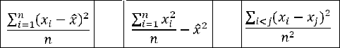
TRES FÓRMULAS EQUIVALENTES PARA LA VARIANZA

INTERPRETACIONES Y WIKIPEDIA

En la wikipedia se habla de dos varianzas (https://es.wikipedia.org/wiki/Varianza) Esta es una captura de la página de la wikipedia con las dos varianzas que vamos a interpretar:

Interpretamos aquí estas definiciones de varianza:

Cuando queremos medir las desviaciones de los valores de la variable, es decir, si los valores son muy uniformes o muy diferentes, se puede optar por alguno de estos métodos:

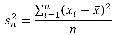
  1. Medir las desviaciones de los valores de la variable respecto a su media y tomar el valor medio de los cuadrados de estas desviaciones

sn2 mide las desviaciones de cada valor a la media, da el valor medio de sus cuadrados


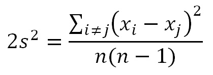
  1. Medir las diferencias entre cada par de valores y tomar el valor medio de los cuadrados de estas diferencias:

sn2 mide las diferencias entre cada par de valores, da el valor medio de sus cuadrados (en realidad es la mitad de ese valor medio) considerando también las diferencias entre datos iguales, por tanto salen n2 sumandos.

 


s2 mide las diferencias entre cada par de valores, da el valor medio de sus cuadrados (en realidad es la mitad de ese valor medio) sin considerar las diferencias entre datos iguales, por tanto salen n(n-1) sumandos.

 


                     

 


Autora Consolación Ruiz Gil     Año 2014