RETO MATEMÁTICO ONDA CERO

 

Anterior

9 de junio 2020

  Siguiente

 

¿Cuántos cuadrados hay en un tablero de ajedrez?

 

Escuchemos el audio de onda cero 20 de Juino de 2020, en más de uno, con Carlos Alsina, el reto matemático de Joseángel Murcia

 

Descarga el audio

 

Generalización

¿Cuántos cuadrados hay en una hoja cuadriculada cuadrada de n cuadritos por lado?

¿Cuantos cubos hay en un cubo de n cubitos por lado?
 

La solución del reto en el tablero es:

Para contar los cuadrados que hay de lado por ejemplo 3 nos fijamos en el vértice inferior izquierdo de cada cuadrado de lado 3 para situarlo disponemos de 6x6 posiciones

 

hay 6^2 cudrados de lado 3,

De lado 8 sale 1 cuadrado

De lado 7 hay 2x2 cuadrados

De lado 6 hay 3x3 cuadrados

De lado 5 hay 4x4 cuadrados

De lado 4 hay 5x5 cuadrados

De lado 3 hay 6x6 cuadrados

De lado 2 hay 7x7 cuadrados

De lado 1 hay 8x8 cuadrados

 

En total hay 1+22+32+42+52+62+72+82

 

Muy interesante para aprender a contar la suma S de los cuadrados de n números (del 1 a n). La siguiente animación nos muestra como calcularla

Descarga el documento

 

 

Es decir, en el tablero de ajedrez hay 207 cuadrados

Veamos otra forma para calcular esta suma de los primeros n cuadrados

Descarga el documento

De manera análoga en un cubo cuadriculado (cubiculado) de lado 8 ¿Cuántos cubos habrá?

El número de cubos es

1+23+33+43+53+63+73+83
 

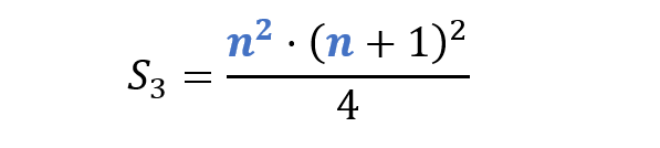
Y la suma de los cubos del 1 al n es

 

Así en un cubo de lado 8 cubiculado hay 1296 cubos.

 

En la imagen vemos cómo calcular la suma de los cubos

 

 

 

 

Descarga el documento

 

Anterior

9 de junio 2020

  Siguiente